Optické teplotní senzory pro měření kryogenních teplot

Přesné stanovení teploty je nezbytné v mnoha technologických a průmyslových procesech. V extrémních prostředích nelze pro měření teploty použít běžné senzory pracující na principu převodu teploty na změnu elektrické veličiny. Za těchto extrémních podmínek nacházejí uplatnění optické teplotní senzory, jejichž princip je založen na změně optického signálu se změnou teploty. Tým Nanomateriálů ve spolupráci s Ústavem struktury a mechaniky hornin vypracoval metodu přípravy telluričitých skel dopovaných ionty vzácných zemin, která umožňuje rozšířit měřicí rozsah až ke 4 K. [1,2].
optické teplotní senzory

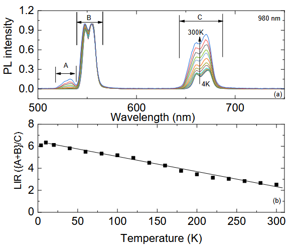
Obr. Optické teplotní senzory pro měření kryogenních teplot. (a) Teplotní závislost “up-konverzních” emisních spekter telluričitých skel dopovaných erbiem, (a) změna poměru intenzity luminiscence (LIR) se změnou teploty. Běžně využívané termálně svázané hladiny (A/B) neumožnují detekovat teploty nižší než 100 K. Ukázali jsme, že vhodným složením skla lze pro měření teploty využít i termálně nesvázané hladiny ({A+B}/C). Poměr LIR pro tyto hladiny vykazuje značnou teplotní závislost i pro výrazně nižší teploty až ke 4 K.

Publikace:

Skip to content